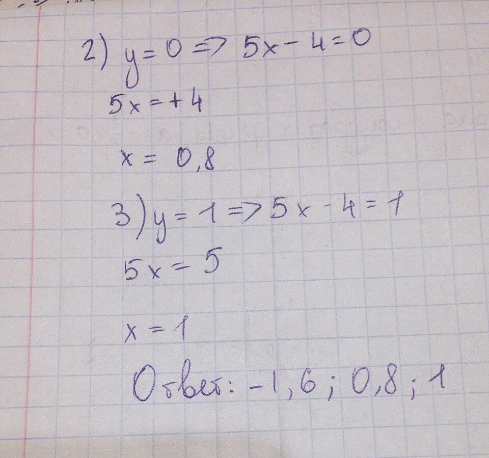
У 4х 8 для значения аргумента