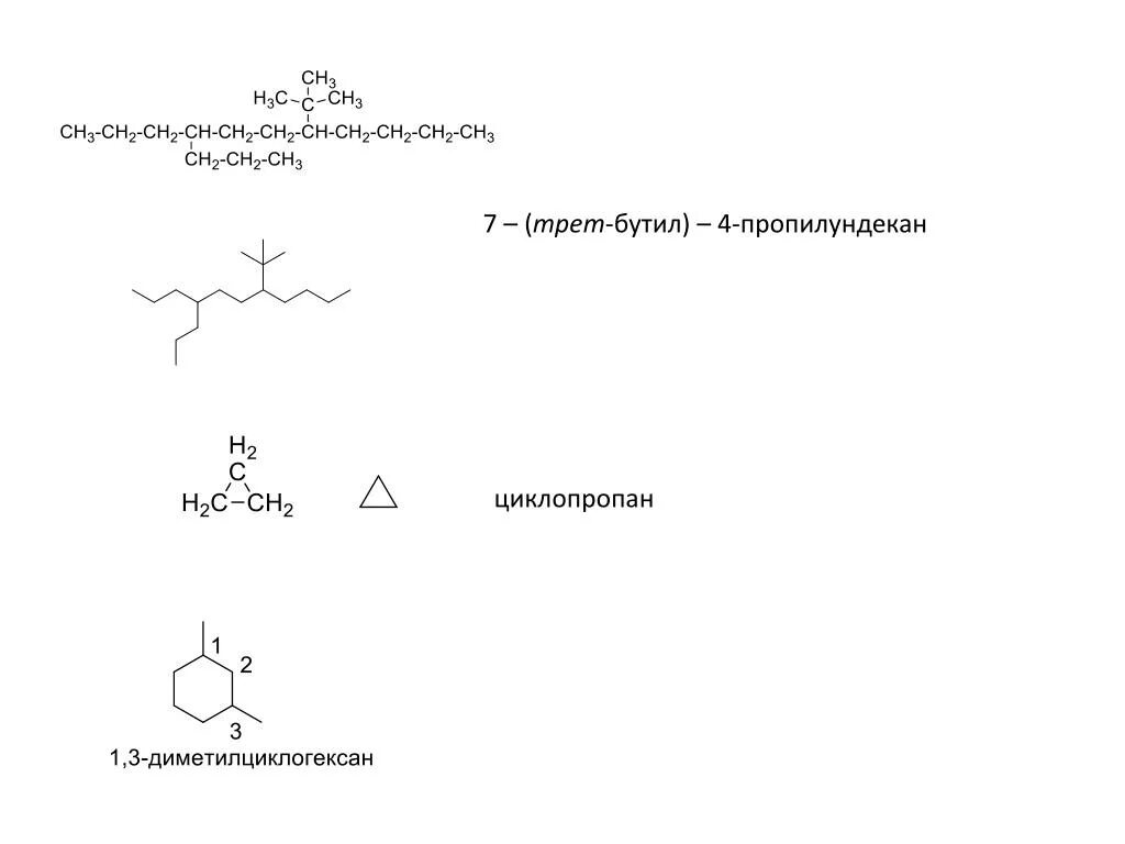
Циклопропан формула общая