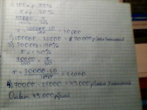
Цену вазы повысили на 15 процентов какой