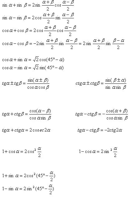
Тригонометрические функции преобразования тригонометрических выражений