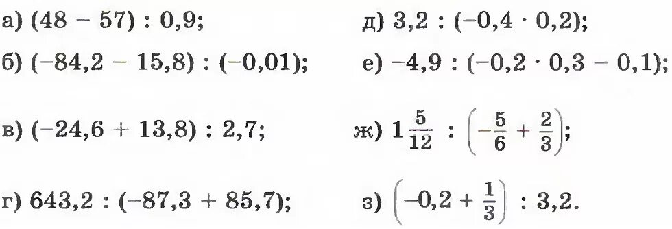
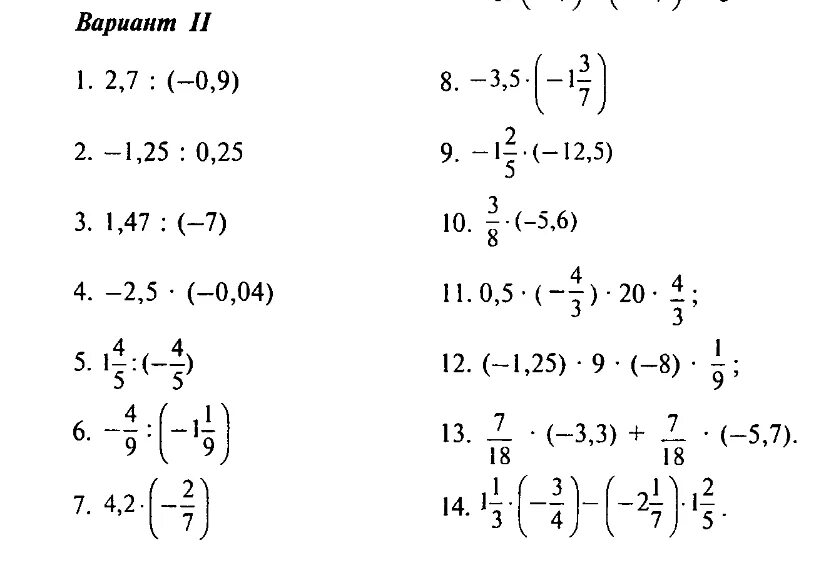
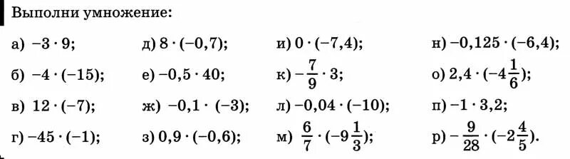
Тренажер действия с положительными и отрицательными