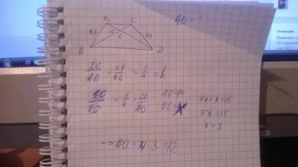
Трапеция abcd с основаниями ab и cd