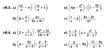
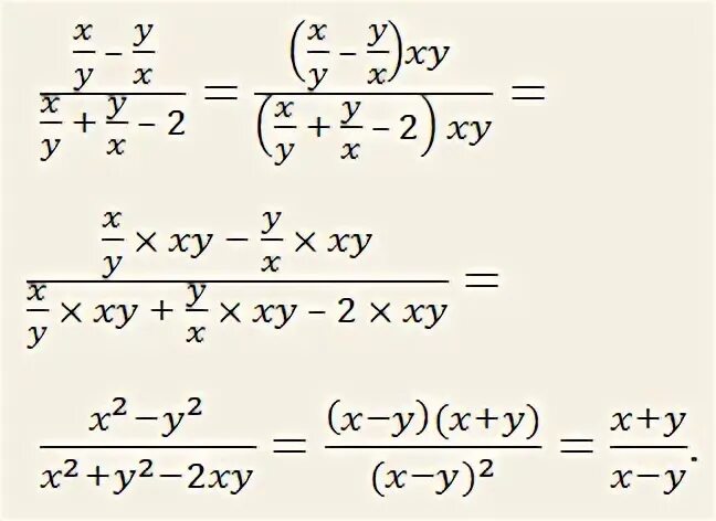
Тождественные преобразования алгебраических выражений 7 класс