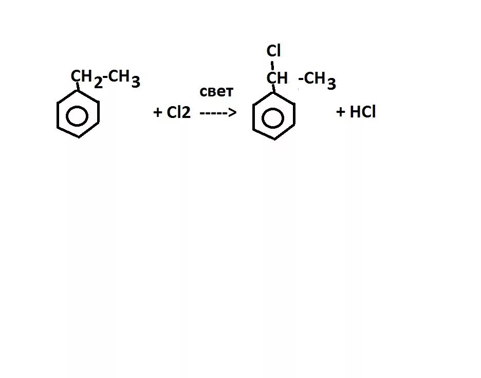
Толуол и хлор fecl3