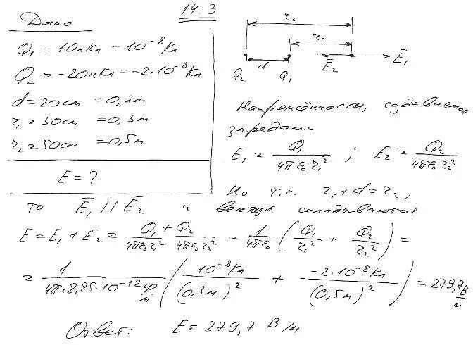
Точечный заряд q2 q1