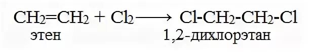
Тип реакции взаимодействия этена с бромом