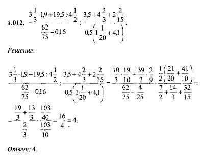
Тип 9 no 7769 i вычислите