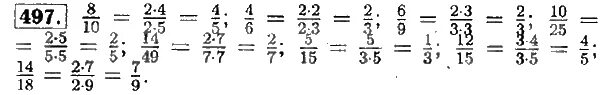
Тип 2 номер 497