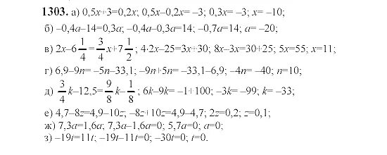
Тип 1 номер 1303