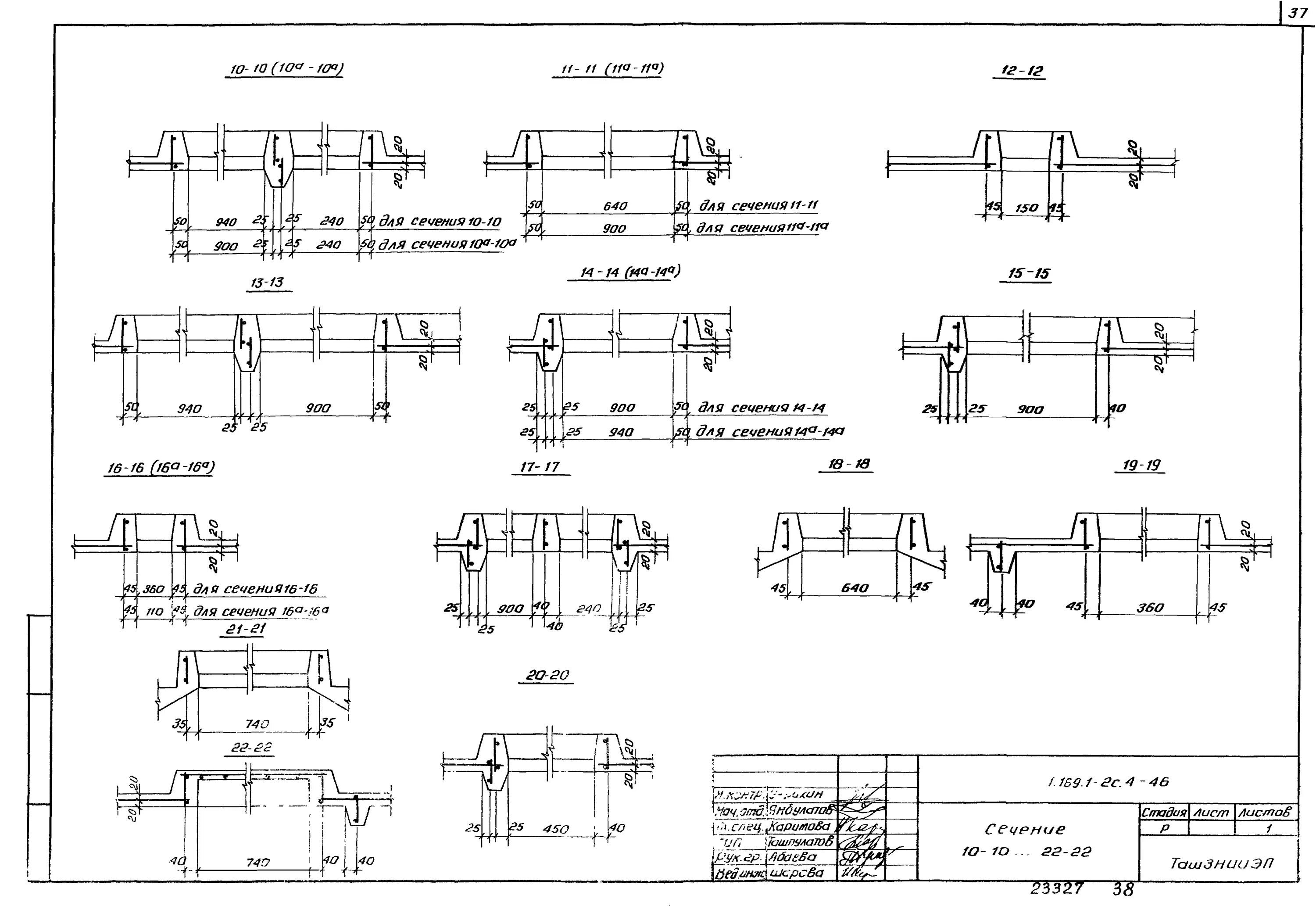
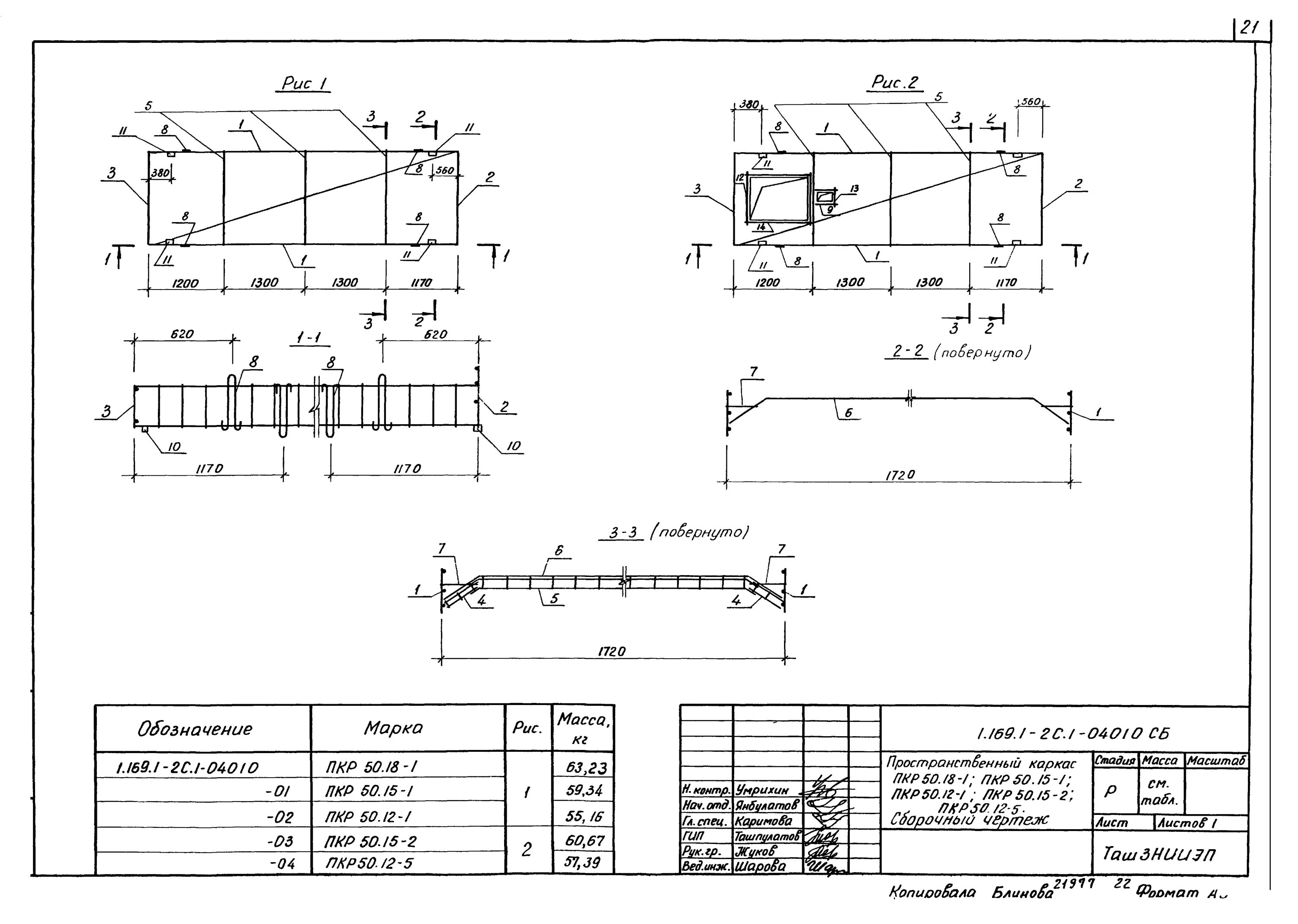
Тип 1 169