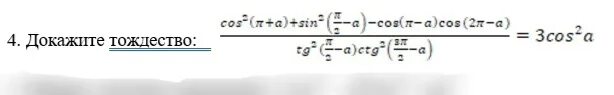
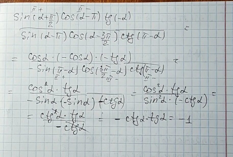
Tg п а ctg 3п 2 а