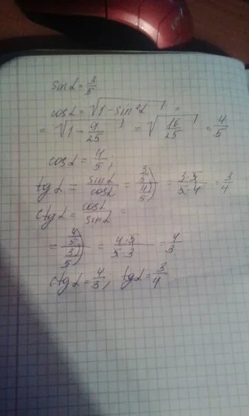
Tg 3 5 вычислите