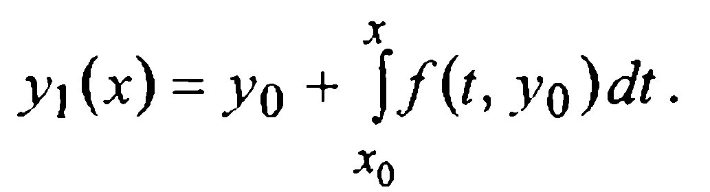
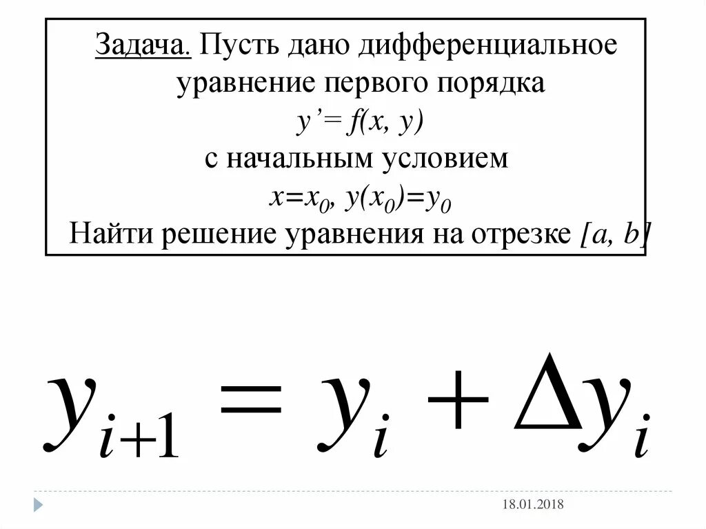
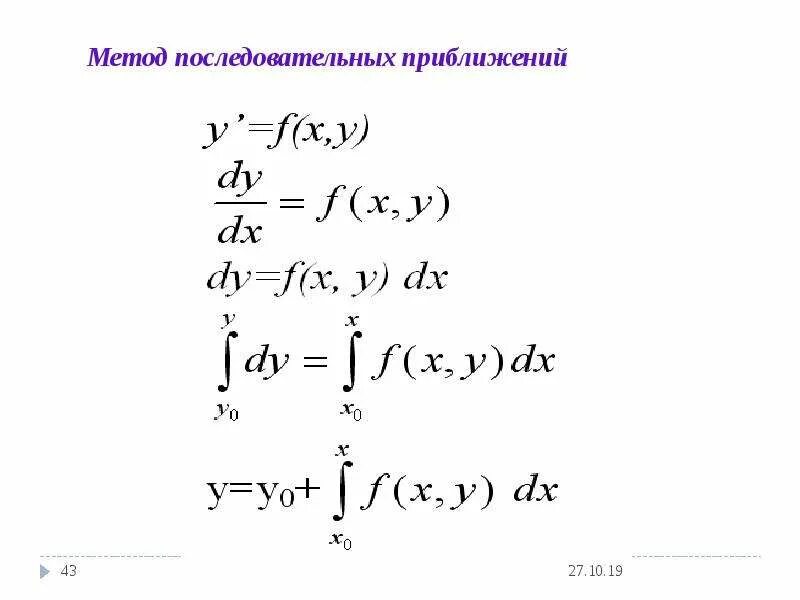
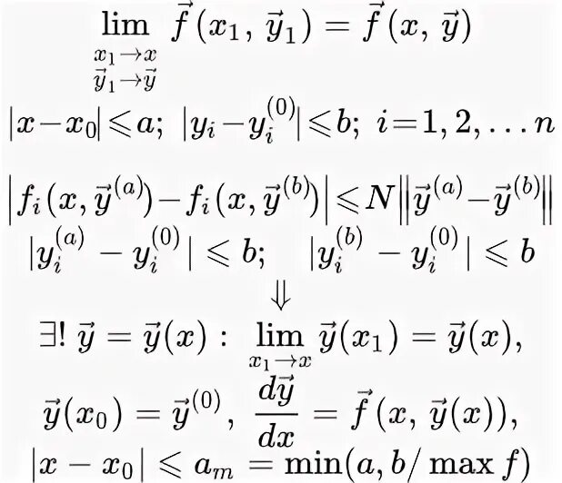
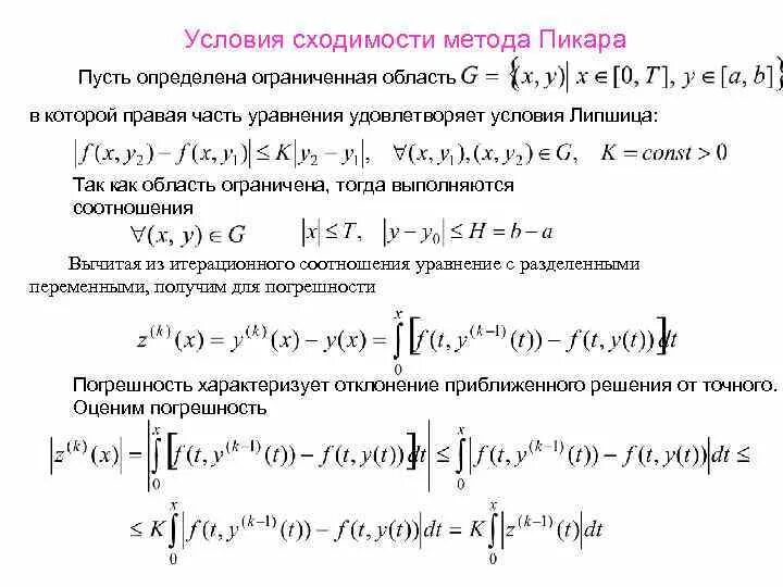
Теорема пикара