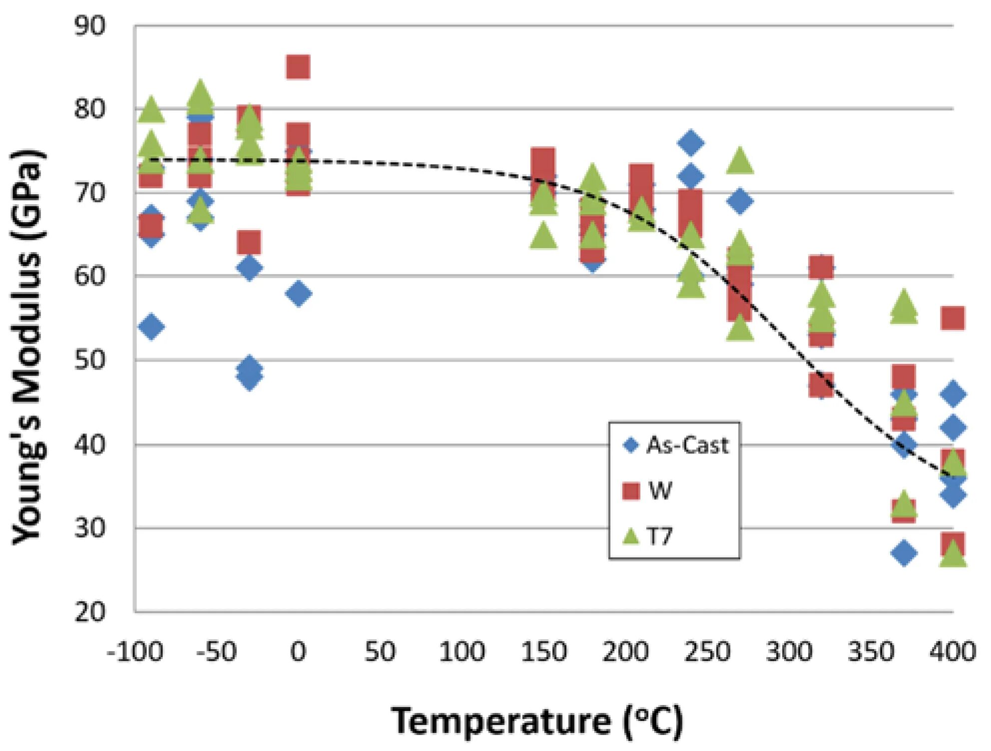
Temperature dependence