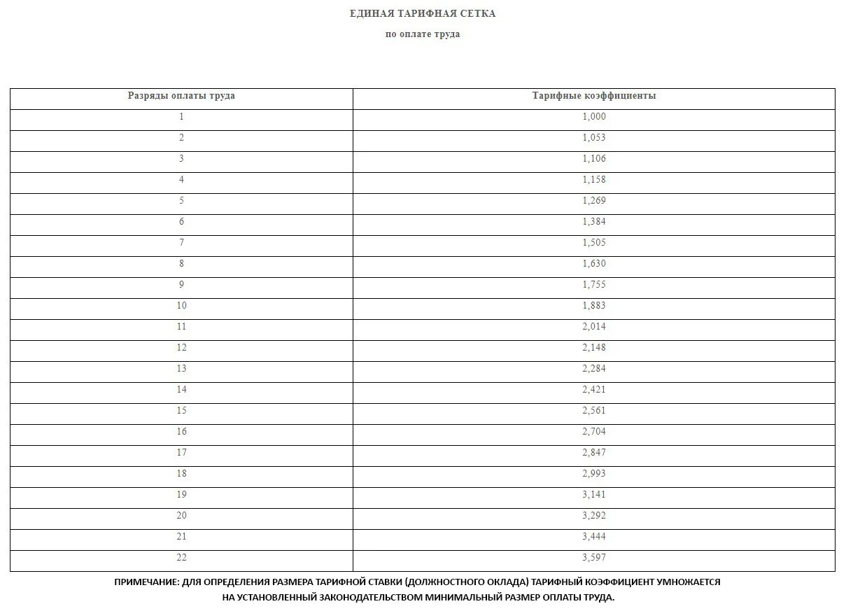
Тарифная сетка оплаты труда бюджетных работников