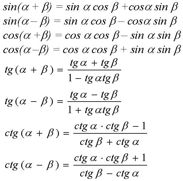
Таблица тригонометрических функций формулы