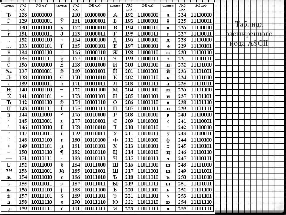
Таблица символов ascii windows 1251