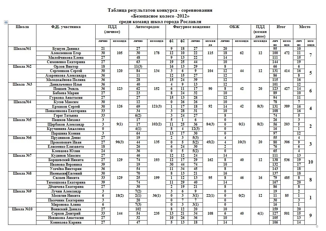
Таблица результатов конкурса конкурсов