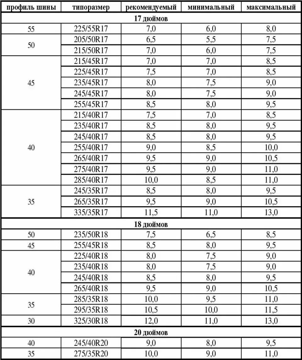
Таблица размеров ширины диска