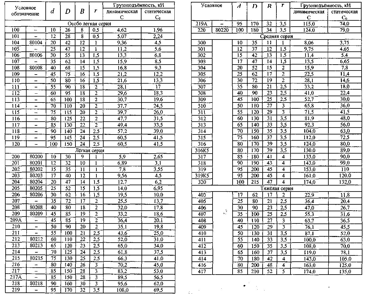
Таблица размеров подшипников шариковых однорядных по размерам