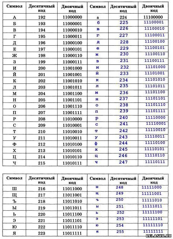
Таблица информатика буквы