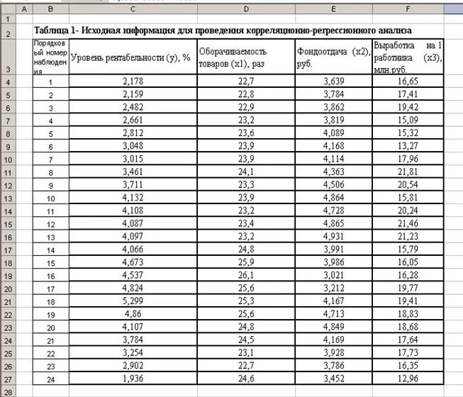
Таблица 1 1 исходные данные