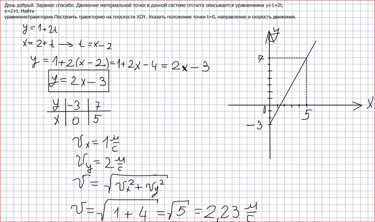
T 10 x y