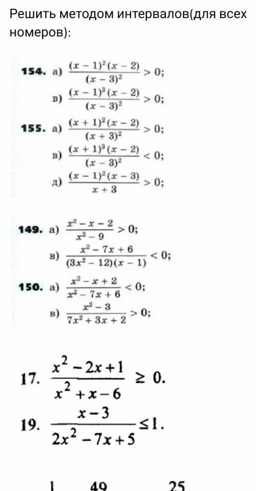
Свойства методов интервала