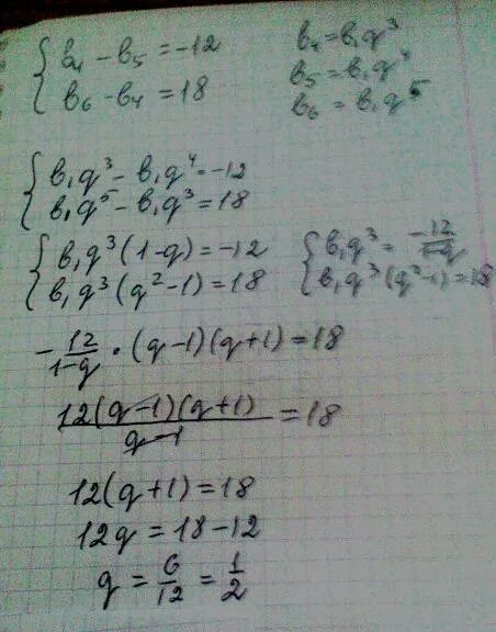
Сумму 5 c 7 c