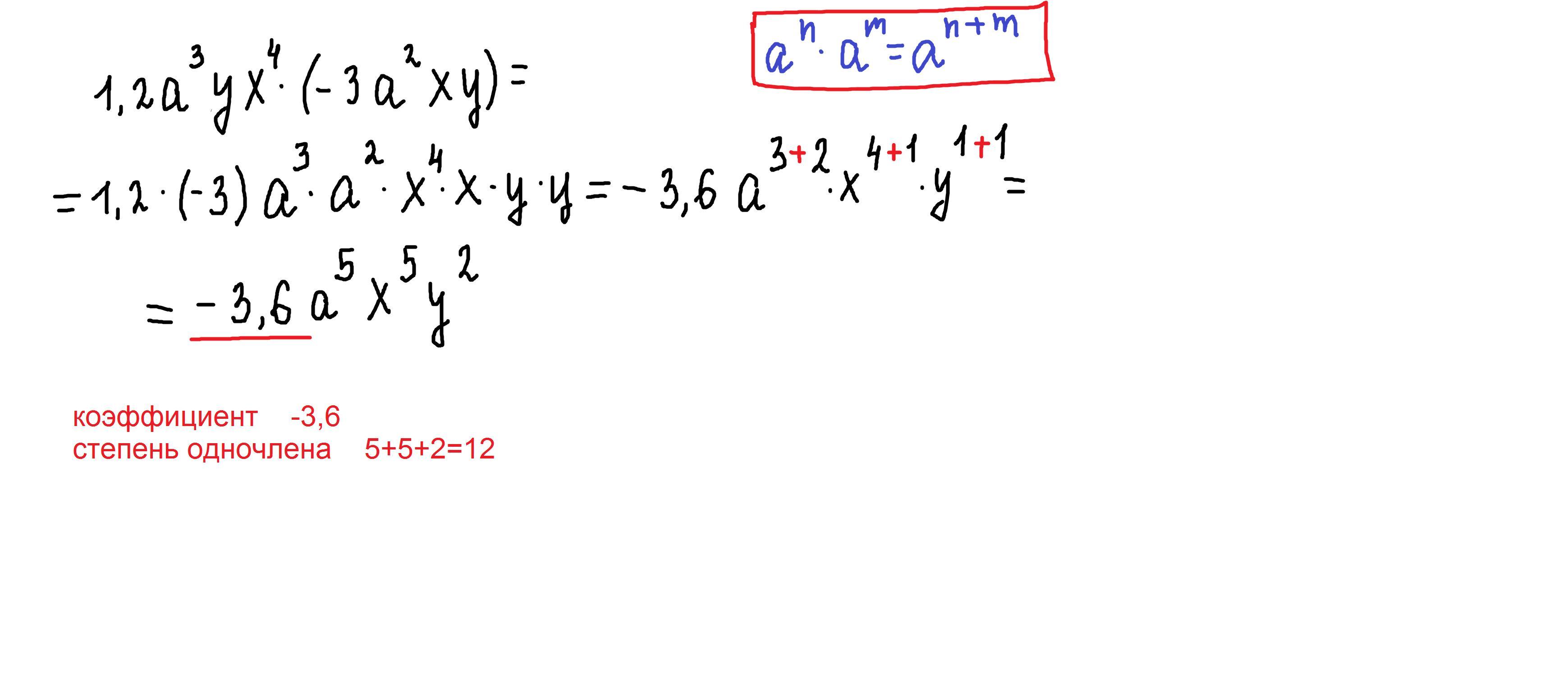
Сумма в степени n формула