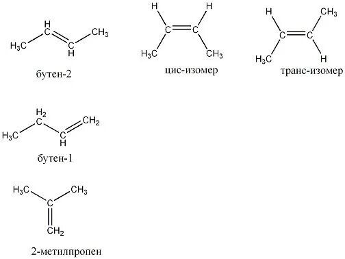
Структурные изомеры c4h8o2