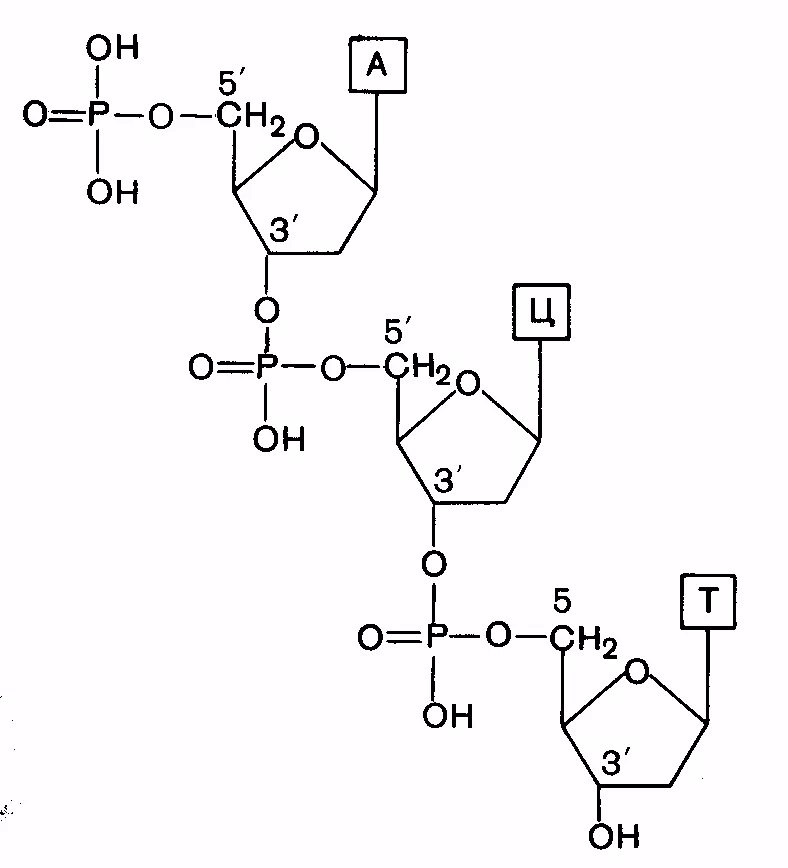
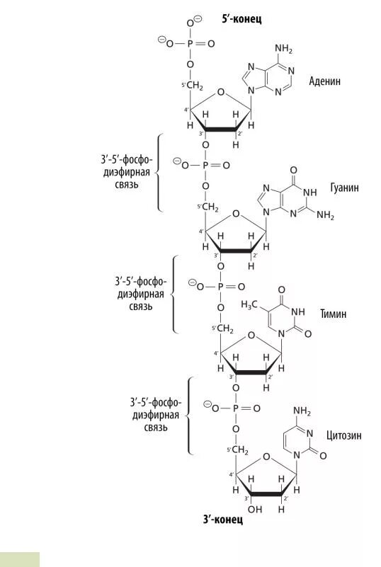
Строение первичной структуры днк