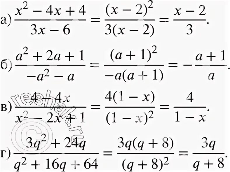
Стр 41 упр 7