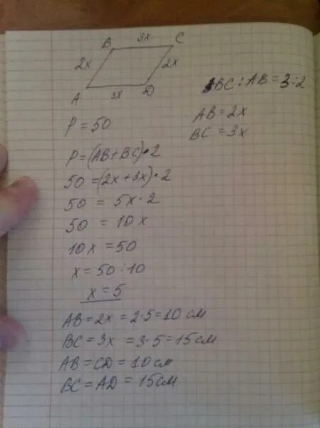
Стороны параллелограмма относятся как 3 2