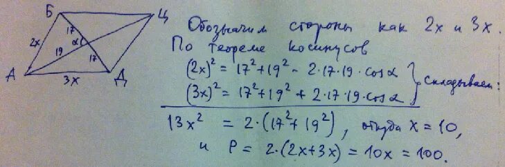
Стороны параллелограмма относятся как 2 5