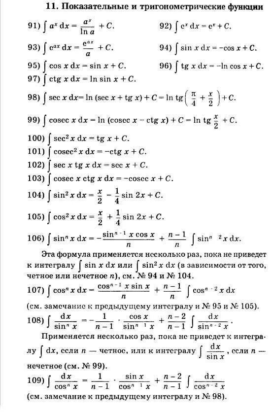
Степенные показательные логарифмические и тригонометрические функции