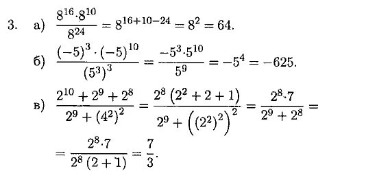
Степени алгебра 7 класс примеры с ответами