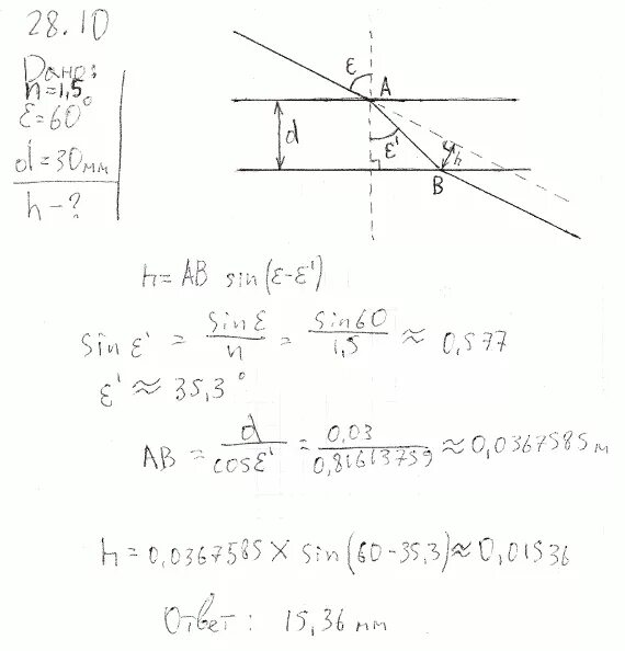
Стеклянную пластинку подвешенную на резиновом шнуре