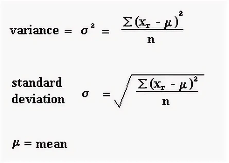
Std find if