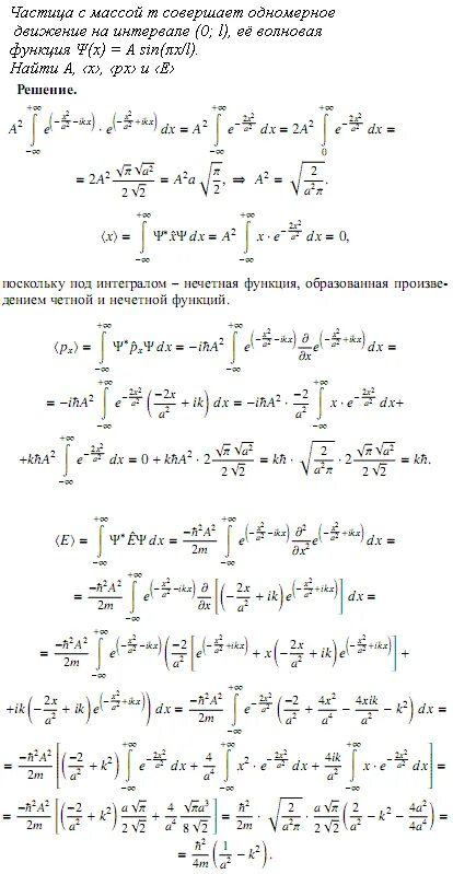
Среднее значение координаты частицы