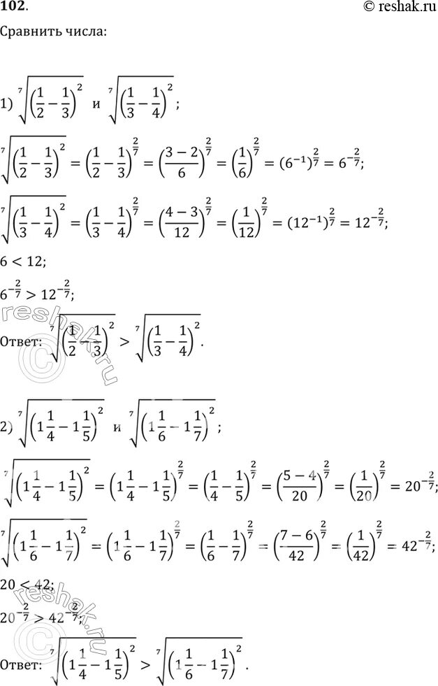
Сравнить числа 4 2 корень 7