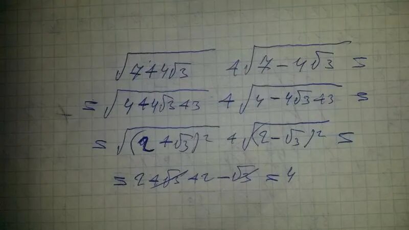
Sqrt 4 81 cdot 16