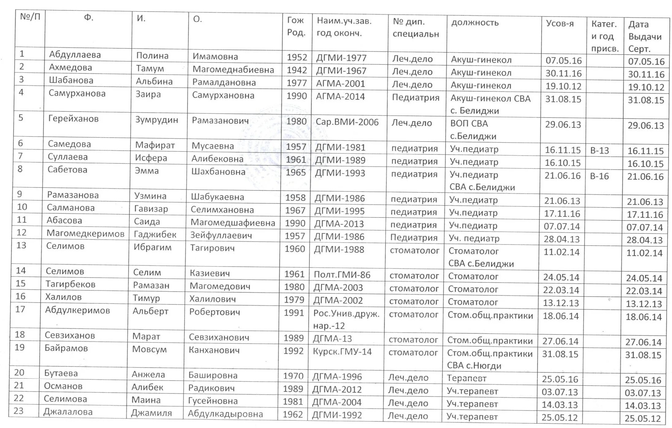
Список врачей 10 лет