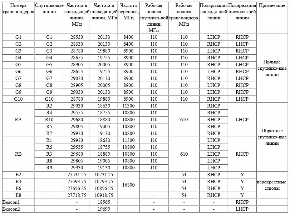
Список транспондеров