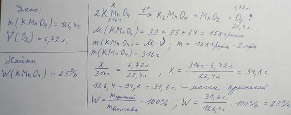
Составьте уравнение реакции разложения перманганата калия