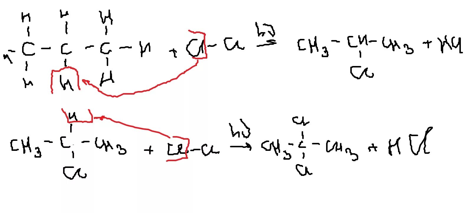
Составьте уравнение реакции хлорирования пропана