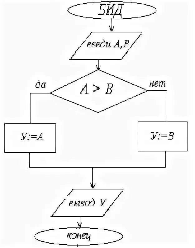
Составьте алгоритм возведения четного