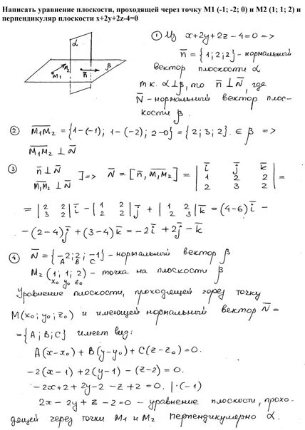
Составить уравнение прямой проходящей 2 3