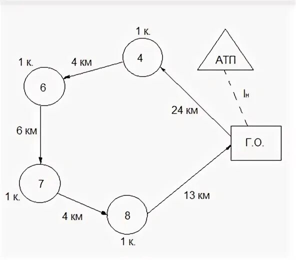
Составить путь