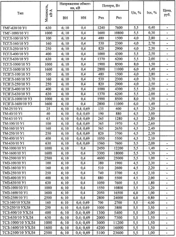
Сопротивление силовых трансформаторов